Nomor : 01 
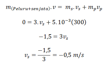
Seorang
penembak memegang sebuah senapan 3 kg dengan bebas sehingga membiarkan ia
bergerak secara bebas ketika ia menembakkan sebutir peluru bermassa 5 gram.
Peluru itu keluar dari moncong senapan dengan kecepatan horizontal 300m/s.
Kecepatan hentakan senapan sesudah peluru ditembakkan adalah ........ m/s
A.  
+
0,2      
B.  
–
0,2      
C.  
+
0,5      
D.  
– 0,5        
E.   
+
0,8
Hukum kekekalan momentum
Kunci : D
Nomor
: 02 
Pembahasan :
Kunci
: C 
Nomor :
03
Suatu
benda yang mula-mula diam meledak menjadi dua bagian dengan perbandingan massa
2 : 5. Bagian yang kecil bergerak ke kiri dengan kecepatan 4 m/s dan Kelajuan
bagian pecahan yang besar adalah ........
A.  
2
m/s ke kanan 
B.  
2
m/s ke kiri
C.  
1,6
m/s ke kanan
D.  
1,6
m/s ke kiri
E.   
2,4
m/s ke kanan       
Pembahasan
: 
Awalnya
benda dalam keadaan diam dan masih utuh. Selanjutnya benda mengalami pecah oleh
sebab dari dalam, menjadi dua bagian. Pecahan benda sesuai keterangan soal
memiliki perbandingan 2 : 5. Dengan permisalan pecahan lebih kecil m1
dan pecahan lebih besar m2. 
Kemudian
m2 kita hilangkan dengan cara membagi dengan dirinya sendiri.sehingga
kita peroleh nilai kecepatan benda serpihan yang besar (m2)
Dan
karena hasil akhir bertanda positip, maka dapat kita simpulkan serpihan benda
yang besar bergerak ke kanan. 
Nomor :
04
Seorang
penumpang naik perahu yang bergerak dengan kecepatan 4 m/s. Massa orang dan
perahu masing-masing 200 kg dan 50 kg. Pada suatu saat, penumpang tadi meloncat
dari perahu dengan kecepatan 8 m/s searah gerak perahu. Kecepatan perahu sesaat
setelah orang tadi meloncat adalah ...........
A.  
1
m/s      
B.  
2
m/s      
C.  
3 m/s
D.  
4
m/s      
E.   
6
m/s
Kunci :
C 
A. 6
Pembahasan :
Hukum kekekalan momentum,
Kunci : D 






0 comments:
Posting Komentar
Silahkan Berkomentar dengan Bijak sesuai dengan semangat kemajuan yang membangun Blog ini dan Jangan keluar dari topik