SOAL : 3
Tentukan pusat dan jari – jari lingkaran
untuk persamaan lingkaran
2x2 + 2y2 – 8x + 16y + 4 = 0
Pembahasan :
Bentuk Umum, BU :
x2 + y2 + Ax + By + C = 0
2x2 + 2y2 – 8x + 16y + 4 = 0
Bagi 2, sehingga persamaan lingkaran
menjadi,
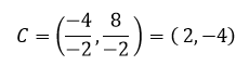
x2 + y2 – 4x + 8y + 2 = 0
ó titik pusat :






0 comments:
Posting Komentar
Silahkan Berkomentar dengan Bijak sesuai dengan semangat kemajuan yang membangun Blog ini dan Jangan keluar dari topik