google-site-verification=ne6G5Vr6nbD8EHcN8bwnfb0Wd2QIbpMNrb27Dl6jG4o SERI - 50 UAS MATE (MINAT) ~ ULIMORANGKIR

SERI - 50 UAS MATE (MINAT)

Pilihan Berganda :


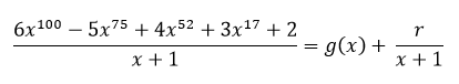
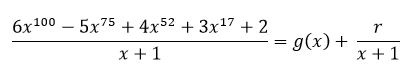
Nomor 20
Jika, 



Maka nilai r = …

 

A.  0

B.  4

C.  14

D.  20

E.  30

 

Pembahasan :

 

BU Teorema Sisa : P(x) = g(x).H(x) + S(x)

 

ó g(x) = x + 1 , g(x) = 0

ó 0 = x + 1

ó x = - 1 






Dari bentuk umum BU, di atas nilai r = S(x)

 

Kunci : C 




0 comments:

Posting Komentar

Silahkan Berkomentar dengan Bijak sesuai dengan semangat kemajuan yang membangun Blog ini dan Jangan keluar dari topik