Nomor : 01
Seorang
anak 50 kg berlari pada kelajuan 10 m/s dan melompat
ke
atas sebuah perahu yang sedang diam di tepi dermaga dan
diam
di atas perahu tersebut seperti tampak
pada gambar.
Bila
massa perahu 150 kg, bagian energi kinetik yang hilang
B.
0,50
C.
0,40
D.
0,30
E.
0,10
Pembahasan :
Diketahui,
Langkah
ketiga,
Kita
menghitung energi kinetik akhir,
Langkah keempat (terakhir),
Menghitung
energi kinetik yang hilang,
Perbandingan
energi kinetik yang hilang ∆EK dengan energi
kinetik
awal EK1.
Kunci : A
Nomor : 02
Dua buah balok dengan massa yang
sama bergerak berlawanan,
masing-masing dengan dengan
kecepatan 2 m/s. Bila setelah
tumbukan, kedua benda terpental
berlawanan arah dengan
kecepatan yang sama sebesar 0,8
m/s. Koefisien restitusi
pada peristiwa di atas adalah
......
A.
0,2
B.
0,4
C.
0,5
D.
0,6
E.
0,8
Pembahasan :
Kunci : B
Nomor
: 03
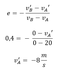
Sebuah
benda yang massanya 50 kg bergerak dengan kecepatan
20
m/s, kemudian menumbuk sebuah dinding tegak. Apabila
tumbukan
yang terjadi lenting sebagian dengan koefiosien
restitusi
0,4 dan g = 10 m/s2, kecepatan benda setelah menumbuk
dinding
adalah ....... m/s.
A.
8
B.
10
C.
12
D.
18
E.
19
Pembahasan
:
Tembok,
vB = vB’=0
Tumbukkan
lenting sebagian, e = 0,4
Kunci : A
Nomor : 04
Sebuah balok yang massanya "M" terletak di atas lantai horizontal
kasar. Balok ditembak peluru yang massanya "m" dengan
kecepatan "v" sehingga peluru bersarang di dalam balok dan
kemudian balok dan peluru bergeser sejauh "X" saat berhenti.
Bila koefisien gesek balok dengan lantai adalah "μ" ,
maka kecepatan peluru sesaat sebelum mengenai balok
adalah ...........
Pembahasan :
Nomor : 05
A
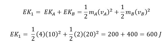
ball of 4 kg in mass moves rightward at a velocity of 10
m/s,
then followed by ball B with a mass of 2 kg that moves
rightward
at a velocity of 20 m/s. If the collision is a partially
elastic
collision with coefficient of elasticity e =
0,8.
Calculate
the kinetic energy that decreases !
A.
24
J
B.
32
J
C.
45
J
D.
48
J
E.
54
J
Pembahasan :






0 comments:
Posting Komentar
Silahkan Berkomentar dengan Bijak sesuai dengan semangat kemajuan yang membangun Blog ini dan Jangan keluar dari topik