Perhatikan gambar di bawah ini, benda bermassa 5,0 kg ditarik dengan sebuah gaya F = 10 N dengan membantuk sudut 600 terhadap arah horizontal.
Jika benda ditarik di atas
lantai mendatar yang licin, maka percepatan gerak benda adalah … m.s – 2 .
A. 1,0
B. 2,0
C. 3,0
D. 4,0
E. 5,0
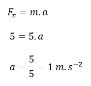
Pembahasan :






0 comments:
Posting Komentar
Silahkan Berkomentar dengan Bijak sesuai dengan semangat kemajuan yang membangun Blog ini dan Jangan keluar dari topik